网站首页  注册会员  本站免费电影 留言板  繁體中文

 

您现在的位置: 陈鹏个人网站 >> 电脑应用 >> 网络应用 >> 网页制作 >> 正文
 

   
专 题 栏 目
相 关 文 章

腾讯神秘I`mQQ新Logo曝光
暴风影音启用新LOGO 突出
支持彩虹QQ 51Logon为51
有趣 解读谷歌浏览器Chr
谷歌北京奥运十二生肖系
福娃设计师主持百度儿童
Internet Explorer 7 RC
Outlook邮件整理插件Xob
PS3用Yellow Dog 6.0已提
Orbit Downloader为XP S

 
美工LOGO设计秘密武器           
美工LOGO设计秘密武器
作者:陈鹏 文章来源:eNet 点击数: 更新时间:2009-9-12 9:07:30
 




 

说到美工LOGO设计,也许你马上会想到 Photoshop , Coreldraw , Illustrator , Flash 等工具软件,没错,正是因为有它们的存在才让我们将一个又一个的梦想变成现实。有关它们的教学与原理因特网上比比皆是,这里我们就不累述了。现在我们想告诉大家的是其他一些秘密武器:比例;对照;复制;还有精微调整!

  其实把它们当作"武器"抑或是"工具"都是不恰当的,因为它们主要规定了作品的性质,而不是我们熟悉的传统意义上的"软件","平台"的概念。但在实际创作中它们是如此的重要,以致于在日常的工作中,我们常常把它们从传统的创作过程中分离出来并亲昵地称之为"武器"。
  下面我们就这四个问题谈一谈自己的看法。由于篇幅有限我们不可能讲得面面俱到,而且为了便于你对它们的掌握,我们主要用例子,针对一些我们认为平时可能被遗忘或一些错误的认识来阐述我们的观点。

  一、比例:
  1、原理:
  在《牛津现代高级英汉双解词典》中是如此对"比例"定义的:一物与他物在量,大小等方面的比率;部分与整体的关系。而在设计领域我们将这个概念缩小成部件在尺寸或长度上的彼此关系。
  "比例"最重要的原则是遵循客观规律,文字比例要使得其易读,形体比例要使得它不会变形而且特色突出。然而,在这种"自然"的客观规律间还有着大量的细微调整,它们虽然不易察觉却直接影响到设计的最终效果。因此我们不要吝啬时间去调整它们以达到最佳的比例。
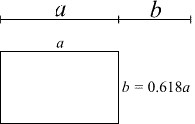
  早在希腊与文艺复兴时代的建筑家就开始找寻一个"理想的"比例规则,其中最出名的就是图一所示的"黄金分割"。





  图一


  随着现代人审美观念的改变,纯数字的"黄金"比例已不再是放之四海皆行得通的标准;而且现代电脑技术的发达,使得我们可以轻易设计出复杂异常的形体与颜色,它们的交互影响又直接影响到物体比例的感观。因此对于比例的考虑,我们将注意力更多地放在外形,可见性与突出性上面。

  2、示例:
  下面我们将以一个例子来解说如何找到它最佳的比例分割,如图二:





  图二


  一个粗略的形体与两个字母如何达到最佳的比例安排呢?很明显,A图中字母与形体的距离太远,造成了整体的断离,因此我们将它们进行缩排,并将字体放大如图B;然后我们再对比一下图D,你会发现有什么不同?图D中的字体是以整个形体的高度作为字高,而图B则是以形体内部的正方形的高度为字高的,图C用红色导线指明了这一点。那么到底是图B还是图D更适合一些呢?
  要注意到,形体与字体都是比较复杂的,形体包含了两个三角形与一个正方形,字体包含两个字同时字体相交,因此如何保持它的协调性就成为关键。图D很明显破坏了整体的协调性,应该进行修改。
  在日常制作中,我们常常采取"内核外壳"的方式解决这类问题。所谓"内核外壳",就是将形体细分成内核与外壳两部分,以内核为标准对其他部分进行协调。这样做是有一定科学道理的,"内核"与"外壳"只是我们人为细分出来的,它们实际上是作为一个协调的整体存在,以此类推,以同一个协调的整体的内核为标准的其他部件也就取得了平衡性。
  运用到图二上,我们将形体细分成内核(正方形)与外壳(三角形),然后以正方形的高度作为字体的高度,最后如图B。图C中红色导线勾勒出的范围就是内核(正方形)的高度,我们看到,这样的比例安排,既做到了LOGO的美观,醒目,同时还保持了高度的协调性。
  这个例子告诉我们找到比例分割的通用法则,那就是:只要有可能,无论什么时候我们都要找到作品中各个元素的相互关系,尽管它有时并不明显;如果能将两个完全不相称的元素安全地变换成一个固定的比例,如一样大或者成倍数关系,那就值得去试试;你可以在脑袋中给作为标准比例的元素添加一根导线,然后将其他元素尽量向这根导线靠拢。事实上,这是一个非常有用的办法,以至于许多专业设计师认为"天地间万事万物都有一根线",因此它们看许多物体就是以那根不存在的"线"为起点的。
  在我们的日常设计中,决定比例规则的工作常常分成两部分:先是尽可能全面地查找作品内部的所有元素;然后找出它们之间的关系并为它们定身制作比例标准。前一个工作往往让我们忘了这样做是为了定制它们的比例标准的目的,只是想尽可能多地找出一些自己感兴趣的东西;而后一个工作往往是我们将手中的任务扔在那里一两天后重新拿起来,脑袋中有了新的想法后才能完成的。

热门推荐 POPO“定位好友”功能大挖掘 QQ2005 Beta3功能抢先使用评测
  

  二、对比:
  1、原理:
  比例常常针对着尺寸大小,而对比则可以针对于万事万物,颜色,大小,形状,字体,纹理,等等,没有一件事物不具备对比性。只要你静下心来认真进行比较,你将会惊奇地发现那些外表相似的物体竟然还有如此丰富的对比因素。
  一开始你也许会只是简单地将它们进行对立看待,但实际上所有的对立显示了不同程度的连续性,而正是这对立程度的选择,往往是区别一位设计高手与业余设计者的标准!对比,突出的并不是组件本身,而是组件彼此的关系与它们要传达的交互信息。

  2、示例:
  我们应该如何看待对比?如图三,你可能会告诉我:它们的颜色是对立的,一个是黑色,一个是白色,而其他是相似的。没错,但你的想法太过简单,而这种简单,对我们的实际创作是毫无意义的。





  图三


  首先我们要做的是改变对比的对立性,不要把它们当作矛盾的对立体,并且想方设法让对立显得不太尖锐。而通常比较有效的作法是先找出或创建出更多的对立点,然后再力图找到它们之间的对应关系。对应关系的重要性,可以用沟通的桥梁来形容,一旦缺少了对应关系的联系,对立因素就成为彼此不相干的单独的物件,也就真正失去了对比的意义。
  这样说比较抽象,我们就用图三的两个物体来阐述我们的对比经验。
  首先我们通过增添对立因素来分散对立概念:为图三增加尺寸对比,如图四:





  图四


  图四看起来效果稍好一点,但还是有着粗糙的人为印象在里面,下面我们通过位置对比进一步分散对立概念,如图五:





  图五


  现在又多了一项对比因素:位置,黑色方块在里面,白色方块在外部。图片经过分散锐化而变得有趣多了。
  最后我们再将黑色方块变成圆形,然后在形体下加上公司的名称,一个简单的LOGO就完成了。如图六:





  图六


  下面我们再举一个例子进一步地阐述观点:





  图七


热门推荐 POPO“定位好友”功能大挖掘 QQ2005 Beta3功能抢先使用评测
  

  图七中的对立因素的连接点在"RWC"三个用于表达中心意思的字上;而对比因素就很多了:背景层尺寸更大,并有虚化效果;前景层小一些,色泽更暗;背景层用小写字体而前景层使用大写字体;背景层中的"W"是处于升格而前景层中的"W"处于降格;字体色彩不一致;等等。正是由于多种对立面的分散锐化,使整个LOGO从矛盾中显得异常协调!
  将对比概念应用到我们在《美工LOGO设计思路》中谈到的具体操作中,可以这样认为:
  1、形体的对比,包括大对小,水平对垂直,方形对圆形,等等。
  2、色彩的对比,包括色相,饱和度与亮度的对比,等等。
  3、字体对比,包括字型,大小写,尺寸等的对比。由于字体发展不平行的特性,使得我们很难在同一个LOGO中应用两种完全不同风格的字型,因此常常在大小写方面做文章,如图八:





  图八


  4、收尾工作对比,事实上这方面的对比操作很少,因为它是在所有元素合理放置并定形后才进行的操作,如果再改变对比属性事必造成前期所有工作的重新修订。

热门推荐 POPO“定位好友”功能大挖掘 QQ2005 Beta3功能抢先使用评测
  

  三、复制:
  1、原理:
  跟对比强调组件的联系一样,复制并不是旨在突出组件的鲜明,而是用以强调一种发展趋向,一种变化顺序。这也从另外一个意义上暗示我们:复制物件最好按照一种线性流程进行定位,或者是直线,或者是曲线,或者是一种较为复杂的交互线程。

  2、示例:





  图九


  图九中三个多边形按照圆环曲线定位,重在表现一种对称性。





  图十


  图十又给我们指明了另一种定位规则:一般地,重复组件用于表达一定的发展趋向,而且每个组件又有自己比较鲜明的特点(如图十中,每个组件都有其独特的颜色),用上面的对称或圆环曲线定位难于传送合适的趋向意识。因此我们采取简单的直线线程定位方式。
  至于多少个重复组件才能更好地表达我们的意图呢?两个重复组件重在表达一种对称,要表达一种线程或趋向信息,至少需要三个重复组件。三个重复组件的数目采取方式是现在最为流行的方式。另外还有一种比较可行的方式,就是根据LOGO中文字数目的多少决定重复组件的数目,但这种方式并不适合文字较多的LOGO。

热门推荐 POPO“定位好友”功能大挖掘 QQ2005 Beta3功能抢先使用评测
  

  四、精微调整:
  1、原理:
  比例,对比,复制三个工具如果使用得当,我们就可以制作出精美的作品。而专业设计师与新手或业余爱好者的区别,更重要地体现在后期的精微调整上。一个缺少精微调整的形体,初看也许不错,但它的魅力却不能长久,一旦我们多看几眼它就显得平常而繁琐了。而经过精微调整的作品却是另外一种结果,它温暖,恬静,优雅,人性化,我们的眼睛早就忙于去找寻它的奥妙而暇顾及其他:嗯,这组线条是平行的;这种颜色与那种颜色一样;这两组相交线条的交点正是那个圆的圆心;这组字母是以那个形体的底线为标尺的;等等。。。。。。所有这些都是我们下意识的行为方式,可能你自己都没察觉到,不过正是这些下意识就决定了我们对一个LOGO的好坏做出美丑的评定。
  精微调整是一件非常耗时的工作,也没有任何的调整标准。比较可行的办法是:在输出最终结果前多问自己几个为什么,为什么要用这种方式表达出我们的意图?为什么采用这种尺寸,角度,位置?是否还有改善的必要?要记住,如果我们马虎对待我们的作品,它们同样也会马虎对待我们的眼睛!

  2、示例:





  图十一


  图十一中有两个精细环节值得提醒:一是斜体字的角度与最下层的深色正方形角度一致,而其他元素都包含在这两个元素之间,增加了这个LOGO的联系与整体性;第二个值得注意的是横竖两根线条并不是一样长的,如果你用尺子量一下你将会发现竖线条比横线条稍短一些。为什么要这样做?这是因为两个文字按横线对比排列,犹如"绑定"在横线上而成为横线的一部分,横线由于增加了重量感而减短了长度感。为了跟它配合,因此只有竖线的长度稍稍小于横线的长度才能真正达到平衡。

  五、总结:
  作为不是总结的总结,我在这里说点题外话:真正要在LOGO设计中取得成功,不是一朝一夕的事,更不是一篇两篇文章就行了。只有当我们把创作当做真正的乐趣,把创作过程当做快乐的灵感之源,才能让我们的观众真正接受并喜欢我们的作品。

热门推荐 POPO“定位好友”功能大挖掘 QQ2005 Beta3功能抢先使用评测
  

文章录入:陈鹏    责任编辑:陈鹏 
  • 上一篇文章:

  • 下一篇文章:
  • 【字体: 】【发表评论】【加入收藏】【告诉好友】【打印此文】【关闭窗口
     
     
     
     
     

    Copyright © 2007 - 2009 chenpeng123.com All Rights Reserved
    本站所有文章,软件等均来自网络收集,不代表本站观点,仅供学习和研究使用。如有侵犯您的版权,请联系我们,本站将立即删除。
    鲁ICP备07014697号
    你是本站第 位访客