网站首页  注册会员  本站免费电影 留言板  繁體中文

 

您现在的位置: 陈鹏个人网站 >> 电脑应用 >> 软件学苑 >> 系统优化 >> 正文
 

   
专 题 栏 目
相 关 文 章

没有相关文章

 
[图文]如何选择您的网络的最佳路由器交换路径           ★★★
如何选择您的网络的最佳路由器交换路径
如何选择您的网络的最佳路由器交换路径
作者:陈鹏 文章来源:本站原创 点击数: 更新时间:2007-7-16 20:11:15
 




 

接口 处理器在网络媒介首先发现那里是一个信息包,并且传输此信息包 到路由器的输入-输出内存。
  
  接口处 理器生成一次收到中断信号。 在此中断期间,中央处理器确 定什么类型的信息包这是(假设它是IP信息包),然后开始转换信息 包。
  
  处理器搜索路由高速缓存确定如 果信息包目的地是可及的,什么输出接口应该是,什么下一跳往此 目的地是和终于,什么MAC 报头信息包如果成功地必须到达下一跳 。 处理器使用此信息重写信息包的MAC报头。
  
  信息包现在被复制到传输或出局接 口的输出队列(根据多种要素)。收到中断信号现在回归和在 处理器运行的进程在中断发生了之前持续运行。
  
  输出接口处理器在其传输队列发现信息包,并且传输 信息包网络媒介。
  
  浮现在脑海在读此说明以后的第一个问题是"什么在 高速缓冲存储器?" 有三个可能的答案,根据中断上下文交换的种类:
  
  快速交换
  
    最优交换
  
  Cisco快速转发

  我们将查看这些路由高速缓存类型 (或交换路径)中的每一条一次一个。
  
  快速交换

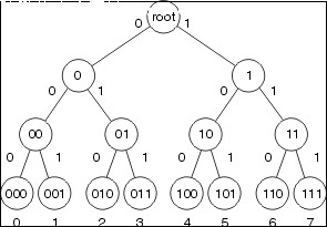
  快速交换使用一个二分 树存储转发信息和MAC报头重写字符串作为快速查找和参考。以下图说明一个二分树。
   

  在快速交换, 可达性信息在二分树由一个节点的存在表示为信息包的目的地。 MAC 报头和出局接口为每个目的地在树之内,存储作为节点 的信息一部分。二分树能实际上有上面32 levels?the树为例 证的目的极其缩写。
  
  搜索一个二分树 ,您在根据该编号的树简单开始从左(与最有效位数)在您寻找的(二 进制)编号和分支或左。例如,如果寻找信息与第4有关在此 树,您由分支的权利会开始,因为第一个二进制数字是1。 您在(二进制)编号会跟随树下来,比较下个数字,直到您到达末端 。
  
  快速交换的特性

  快速交换有作为 树节点一部分,是二分树结构的结果和MAC报头重写信息存贮的几个 特性。
  
  因为没有路由表和快速缓存内 容(例如MAC报头重写的之间相关性),大厦缓存条目介入所有处理在 流程转换路径必须完成。 所以,当信息包被过程交换,快速 缓存条目被建立。
  
  因为没有MAC报头 的之间相关性(用于重写)在ARP高速缓存和快速缓存的结构,当 ARP 表更改时,必须无效快速缓存的某个部分(和通过信息包流程 转换再创造)。
  
  快速缓存在路由表之 内能只建立条目在一深度(一个前缀长度)为所有特定目的地。
  
  没有办法从一个条目点到另一个在 快速缓存(MAC报头和出局接口信息之内预计在节点之内),因此所有 路由递归一定解决当一个快速缓存条目被建立时。换句话说 ,递归路由不可以是解决在快速缓存之内。
  
  使快速交换条目老化

  保持快速交换条目从丢 失他们的同步与路由表和ARP高速缓存和保留未使用项在快速缓存从 路由器的过度消耗的内存,1/20th快速缓存无效,随机地,每分钟 。如果路由器内存下降在非常低水印下面,1/5th快速缓存条 目每分钟无效。
  
  快速交换前缀长度

  如果能只构件到一个前缀长度为每个目的地,什么前 缀长度快速交换是否建立条目为?在快速交换的之内术语, 目的地是单个可达目的地在路由表之内或者一个主要网络。规则为决定建立特定缓存条目的什么前缀长度是:
  
  如果建立快速的策略项,总缓存到/32 。
  
  如果建立条目ATM上多协议虚拟电路 (MPOA VC),总缓存到/32。
  
  如果网络 没有分支子网(它是一个主要网络条目):
  
  如果它直接地连接,使用/32;
  
  否则使用主网掩码。
  
  如果它是Supernet使用Supernet的掩码。
  
  如果网络分支子网:
  
  如果直接地连接,使用/32;
  
  如果有 多条路径到此子网,使用/32;
  
  在 其他案件,使用最长的前缀长度在此主网。
  
  负载共享

  快速交换整个地是基 于的目的地; 负载共享在每个预定基础上发生。如 果有多条相等费用路径为一个特定目的地网络,快速缓存有一个条 目为每台主机可及在该网络之内,但所有数据流被注定到一台特定 主机跟随一条链路。
  
  最优交换

  最优交换在一棵256种方式multiway树(256 种方式 mtree)存储转发信息和MAC报头重写信息。使用mtree减少必 须采取当查找前缀,如下表所示时步骤的数量。
   

上一页  [1] [2] [3] [4] 下一页

文章录入:陈鹏    责任编辑:陈鹏 
  • 上一篇文章:

  • 下一篇文章:
  • 【字体: 】【发表评论】【加入收藏】【告诉好友】【打印此文】【关闭窗口
     
     
     
     
     

    Copyright © 2007 - 2009 chenpeng123.com All Rights Reserved
    本站所有文章,软件等均来自网络收集,不代表本站观点,仅供学习和研究使用。如有侵犯您的版权,请联系我们,本站将立即删除。
    鲁ICP备07014697号
    你是本站第 位访客